494
Un générateur aléatoire de pile ou face venu d’ailleurs.
Bernard Parzysz [1]
1. Introduction
Dans les diverses civilisations, un certain nombre de jeux font intervenir des
générateurs aléatoires divers et variés. Ce sont notamment, en Occident, les pièces de
monnaie, les dés cubiques, les sacs contenant des jetons (loto), les roues (loteries),
les boules tombant dans des trous (roulette, boule), etc., sans parler de l’aiguille de
Buffon… Et il en existe bien d’autres, par exemple :
- *À Sumer, vers 2500 avant notre ère, on pratiquait un jeu de table utilisant des dés
tétraédriques dont deux sommets étaient marqués (fig. 1A). Lorsqu’on lance un tel
dé, l’un des sommets se trouve au-dessus du plan des trois autres, et on a
théoriquement une chance sur deux que ce sommet soit marqué ([2] p. 57). - *Homère mentionne qu’on jouait avec quatre osselets (astragales de mouton), jeu
qui fut très répandu dans l’Antiquité [2]. Lorsqu’on le lance, un osselet peut présenter
quatre de ses faces comme face supérieure : la face la plus plane vaut 1 point, la face
opposée (sinueuse) vaut 6 points, la face concave vaut trois points et la face convexe
vaut 4 points ([1] pp. 358-360).
- En Inde, différents jeux de table, comme le chausar ([2] p. 29) font usage de trois
dés oblongs à section carrée, généralement en ivoire, dont chacune des quatre faces
rectangulaires porte 1, 2, 5 ou 6 points (fig. 1B). Lorsqu’on lance les dés, ils
retombent sur l’une de leurs faces rectangulaires et − comme avec « nos » dés
cubiques − la somme des points des trois faces supérieures donne les points marqués. - À l’occasion de la fête de Hanoukkah, les enfants juifs jouent avec une toupie à
corps cubique (sevivon en hébreu, dreidel en yiddish) sur les quatre faces latérales de
laquelle est inscrite une lettre différente (fig. 1C). Cette toupie trouve son origine
dans l’Allemagne médiévale, « où elle jouissait d’une grande popularité parmi les
joueurs et les passionnés de jeux de hasard » ([2] p. 142).
2. Les jeux de cauris en Afrique
Je voudrais maintenant m’intéresser à l’Afrique occidentale, et à un petit coquillage,
originaire de l’Océan indien, qui y est très répandu (il servait jadis de monnaie) : le
cauri (Cypraea moneta) qui, à l’état naturel, présente une face bombée et une face
plane traversée par une ouverture longitudinale. De nos jours, les cauris sont utilisés
dans la divination, dans la décoration et dans certains jeux [3], après avoir subi une
modification consistant à rogner la face bombée pour l’aplanir (fig. 2A), afin que le
cauri puisse tenir en équilibre sur cette face. Après le lancer, un cauri peut présenter
comme face supérieure, soit la face avec l’ouverture (fente), soit la face bombée
rognée (dos) ; il présente avec l’osselet la particularité de ne pas renvoyer à un
modèle canonique d’équiprobabilité, contrairement aux pièces, aux dés (qu’ils soient
cubiques, tétraédriques ou oblongs) ou à la toupie :
« Le cauri n’est pas une pièce fabriquée industriellement, à l’instar d’une
pièce de monnaie ou d’un dé ; sa partie bombée est la plupart du temps rognée
de façon artificielle. De plus, tous les cauris, bien qu’ayant des
caractéristiques communes, ne sont pas parfaitement identiques. Il ne s’avère
donc plus possible, comme dans le cas d’une pièce de monnaie, de déterminer
intuitivement la probabilité de l’apparition d’un des côtés. » ([3] p. 63)
Notons enfin que les cauris peuvent être remplacés par des coquilles de bivalves, des
coques d’arachide − ou des baguettes creuses − coupées en deux longitudinalement,
ou par des jetons en coque de fruit, comme dans le jeu d’abbia du Cameroun (fig.
2B).
Plusieurs jeux africains utilisent le lancer simultané de quatre cauris. Il y a donc cinq
configurations possibles, selon le nombre de fentes qui apparaissent. Dans certains jeux, un nombre de points est affecté à chacune de ces configurations, mais dans
d’autres jeux [4] on ne distingue que deux cas : la configuration est favorable ou
défavorable [3]. De façon très générale [5] les configurations favorables sont celles
qui comportent un nombre pair de « fentes » (F), et donc un nombre pair de « dos »
(D). Plus précisément, il y a :
trois configurations favorables : 4F 0D, 2F 2D, 0F 4D
deux configurations défavorables : 3F 1D, 1F 3D.
C’est à ce type de jeux que nous allons maintenant nous intéresser.
3. Expérimentation du générateur
- 3.1. Un seul cauri
S. Doumbia et J.-C. Pil se sont intéressés à ces jeux et ont cherché la probabilité
d’obtenir F ou D avec un cauri ([3] p 63).
Pour ce faire, ils ont lancé 1000 fois un
même cauri, et ont réalisé la même expérience avec trois autres cauris. Ils ont obtenu
les résultats suivants ([3] p. 63) :
| N° du cauri | 1 | 2 | 3 | 4 |
| Fréquence $f_i$ de F (fente) | 0,390 | 0,430 | 0,383 | 0,422 |
En faisant l’hypothèse qu’une probabilité d’apparition de F, soit $p_i$ (i = 1, 2, 3, 4) est
attachée à chacun des cauris, on peut chercher les intervalles de confiance à 95 %
pour les $p_i$, en utilisant l’approximation normale et les bornes $f_{i} \mp 1,96 \sqrt\frac{f_{i}(1-f_{i})}{n-1}$
On trouve respectivement :
Cauri 1 : [0,36 ; 0,42]
Cauri 2 : [0,40 ; 0,46]
Cauri 3 : [0,35 ; 0,41]
Cauri 4 : [0,39 ; 0,45].
Les auteurs de l’étude concluent de leurs résultats : « on peut estimer, dans des limites
raisonnables, que la probabilité d’obtenir [F] est voisine de 0,4 ou 2/5. C’est
précisément cette valeur que nous adopterons pour la suite de nos calculs. » (ibid.).
Autrement dit, ils modélisent leurs quatre cauris par un même modèle bernoullien,
dans lequel la probabilité de succès est de 0,4. Ce n’est pas aberrant, dans la mesure
où l’intervalle [0,40 ; 0,41] est inclus dans chacun des quatre intervalles de confiance
ci-dessus.
- 3.2. Quatre cauris
Pour ce qui est du lancer simultané de 4 cauris, nous avons vu qu’il n’y a que deux
issues : soit la configuration est favorable, soit elle est défavorable. La question qui
se pose est alors : y a-t-il équiprobabilité de ces deux issues ? Et pour cela, il faut en
évaluer la probabilité.
Commençons par étudier le cas particulier où les quatre cauris relèvent du même
modèle, avec pour chacun la probabilité p d’obtenir F.
La probabilité d’obtenir une configuration défavorable (3F1D ou 1F3D) est alors :
$4 p^{3}(1-p) + 4 (1-p)^{3}p$
Et la probabilité d’obtenir une configuration favorable est par conséquent :
$P(p)= 1-4 p^{3}(1-p) -4 (1-p)^{3}p$
On peut remarquer que cette formule reste inchangée lorsque l’on remplace p par
1 - p, c’est-à-dire qu’elle présente une symétrie par rapport à $p=\frac{1}{2}$
D’où l’idée de
poser $p=\frac{1}{2} + h $ avec $h \in [-\frac{1}{2}, \frac{1}{2}]$
Il vient alors
$ P(\frac{1}{2} + h) = Q(h) = 8 h^{4}+\frac{1}{2} $ (*)
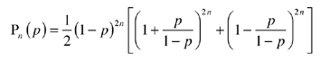
[P.-L. Hennequin m’a suggéré de généraliser cette formule au cas de 2n cauris
($n \in \mathbb{N}^{*}$) ayant la même probabilité p de donner « fente », l’issue favorable étant
alors d’obtenir un nombre pair de « fentes » et un nombre pair de « dos ».
Dans ce
cas, la probabilité d’une issue favorable est :
soit
( d’après la formule : $ (1+x)^n = \sum_{k=0}^{2n}\left( \begin{array}{c} 2n\\ k \end {array} \right) x^{k}$ )
Avec quatre pièces de monnaie « bien équilibrées » la formule (*) donne
P(0,5) = Q(0) = 0,5
(le jeu est équitable), et avec l’hypothèse faite précédemment sur les cauris (p = 0,4)
on obtient
P(0,4) = Q(-0,1) = 0,5008.
Ainsi donc, même avec des pièces mal équilibrées (mais de la même façon), on a un
jeu presque équitable (50,08 % de chances de succès contre 49,92 % de chances
d’échec). Ceci incite à aller voir de plus près la raison de cette stabilité.
- 3.3. Avons-nous là un « bon » générateur ?
La forme du polynôme Q nous fournit immédiatement la réponse : lorsque la
probabilité p s’écarte de de la quantité h, la probabilité de succès s’écarte de
de la quantité $8h^4$.
On peut aussi le dire autrement : la fonction $p \mapsto P(p)$ admet un point méplat pour $p=\frac{1}{2} $
, c’est-à-dire qu’on a
$P’(\frac{1}{2})=P’’(\frac{1}{2})=P’’’(\frac{1}{2}) = 0 $
Il en résulte que la fonction P varie très peu autour de ce point, ce que permet
d’ailleurs de constater son graphique :
Cette particularité est bien sûr confirmée par un tableau de valeurs :
| p | P(p) |
| 0,1 | 0,70480 |
| 0,15 | 0,62005 |
| 0,2 | 0,56480 |
| 0,25 | 0,53125 |
| 0,3 | 0,51280 |
| 0,35 | 0,50405 |
| 0,4 | 0,50080 |
| 0,45 | 0,50005 |
| 0,5 | 0,50000 |
Plus précisément, pour une valeur de p comprise entre 0,4 et 0,6, la probabilité
d’obtenir une configuration favorable est comprise entre 0,5 et 0,5008. De même,
pour une valeur de p comprise entre 0,35 et 0,65 (comme c’est le cas des quatre
cauris « expérimentaux » … au seuil de 95 %), la probabilité d’une configuration
favorable est comprise entre 0,5 et 0,504.
- 3.4. Cas général
Nous avons supposé que les quatre cauris avaient la même distribution de
probabilité, mais on conçoit que ces résultats ne seront pas fondamentalement
modifiés si on suppose les distributions différentes mais voisines.
Pour traiter le cas général, notons $p_i$ la probabilité d’obtenir F pour le cauri n° i
(i = 1, 2, 3, 4). La probabilité d’obtenir une configuration défavorable (3F1D ou
1F3D) est alors :
Par conséquent, la probabilité d’obtenir une configuration favorable est :
Prenons le cas de nos quatre cauris « expérimentaux », en leur affectant comme
valeur de $p_i$ la fréquence de succès obtenus à l’issue des 1000 lancers, c’est-à-dire
$p_1
= 0,390$, $p_2
= 0,430$, $p_3
= 0,383$ et $p_4
= 0,422$. On trouve alors une probabilité de
configuration favorable d’environ 0,50056.
En définitive, on voit qu’un matériel de jeu constitué de quatre objets semblables, qui
peuvent s’arrêter de deux façons lorsqu’on les lance, produit les deux configurations
indiquées plus haut avec des probabilités très voisines, et ceci même s’il n’y a pas
tout à fait équiprobabilité des deux issues pour chaque objet. Ce matériel et cette
règle du jeu nous fournissent donc une simulation du jeu de pile ou face dont la
qualité n’a rien à envier à l’original (et qui est sans doute plus amusante à mettre en
œuvre) [6]
Bibliographie
[1] Alleau, R. (dir.) Dictionnaire des jeux. Éd. Henri Veyrier, Paris 1964.
[2] Grunfeld, F.D. (dir.) Jeux du monde. Éd. Lied, Genève 1976.
[3] Doumbia, S. & Pil, J.-C. Les jeux de cauris. Éd. Institut de Recherches
Mathématiques d’Abidjan, 1992.
