480
Exercices de-ci de-là du BV 480 et solutions du 478-1, 478-2, 478-3 et 479-1
Ces exercices ont été publiés dans le BV 481 sous le nom d’exercices 480-xx.
EXERCICES
Exercice 480-1 (Daniel Reisz – Auxerre)
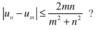
Que peut-on dire de la suite de réels $(u_n)$ vérifiant $u_1 = 1$ et, pour tout m et n,
voir l’article où est publiée la solution
Exercice 480-2 (Daniel Reisz – Auxerre)
voir l’article où est publiée la solution
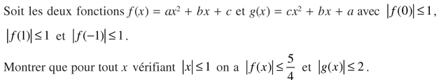
Exercice 480-3 (Daniel Reisz – Auxerre)
Quel élève n’a pas eu au moins une fois dans sa vie mathématique la tentation d’écrire
(f g)’ = f ’g’ ?
Y a-t-il des fonctions pour lesquels cette règle est vraie ? Que peut-on en dire ?
voir l’article où est publiée la solution
Exercice 480-4 (Georges Lion – Wallis)
Soit deux groupes finis G et G’ et une bijection $\phi$ de G sur G’ tels que, pour tout
$x\in G,$ alors $\phi(x)$ soit de même ordre que x. Se peut-il que $\phi$ ne soit pas un isomorphisme ?
voir l’article où est publiée la solution
SOLUTIONS
Exercice 478-1 (Pierre Duchet et Jean Moreau de Saint-Martin – Paris)
Soit $\Delta$ une droite et O un point extérieur à la droite. On considère un nombre
indéterminé de points $A_i$ de $\Delta$ tels que les cercles inscrits dans les triangles $OA_{i}A_{i+1}$
soient tous de même rayon r. Démontrer que, quel que soit k, les cercles inscrits dans
les triangles $OA_{i}A_{i+1}$ sont tous de même rayon $r_k$
Solution de Raymond Raynaud (Digne)
Exercice 478-2 (Georges Lion – Wallis)
Trouver le lieu géométrique des centres des triangles équilatéraux inscrits dans un
carré.
Solution de Robert Bourdon (Tourgeville)
Exercice 478-3 Exercices pour amateur (Édouard Lucas nombres [tome 1] – Nouvelle édition : Blanchard 1961)
1°) On partage la suite des nombres impairs en groupes contenant
2, 3, …, n termes. Trouver la somme des p termes du groupe
de Gérase [environ 100 ans av. J.C.])
2°) On partage la suite des nombres entiers en groupes contenant
2, 3, 4, …, n termes. Démontrer que la somme des termes renfermés dans les n
premiers groupes de rang impair est égal à $n^4$.
3°) Démontrer que la somme des $n^2$
entiers qui suivent les n
premiers
est le double
des n premiers cubes.
Solution de Marie-Laure Chaillout (Epinay/Orge)
Exercice 479-1 (Pierre Renfer – Ostwald)
À l’occasion de mon cinquante-neuvième anniversaire, j’ai trouvé sans démonstration,
dans l’excellent livre « Les nombres remarquables » de François Le Lyonnais, que 59
était le nombre de régions découpées dans l’espace par les plans des faces d’un octaèdre
régulier.
Comment le prouver ?
